同影像位图不同,边界线处一般会有明显的边沿,借助此特征能拆分影像。需要表明的是:边沿和球体间的边界线并不等同于,边沿指的是影像中画素的值有变异的地方性,而球体间的边界线指的是现实生活场景中的存有于球体之间的边界线。有可能有边沿的地方性绝非边界线,也有可能边界线的地方性并无边沿,即使现实生活世界中的球体是二维的,而影像只具备二维重要信息,从二维到二维的二维光学无可避免的会遗失一部分重要信息;另外,光学操作过程中的日光和噪音也是无可避免的重要因素。正是即使这些原因,如前所述边沿的影像拆分仍然是当前影像研究中的国际级痛点,目前人类学家正在企图在边沿抽取中加入高层人士的语法重要信息。
在前述的影像拆分中,常常再加到ii和四阶导数,虽然,基本原理上,能用更低阶的微分,但是,即使噪音的负面影响,在单纯四阶的微分操作中就会出现对噪音的脆弱现象,四阶以上的微分重要信息常常失去了应用价值。四阶微分还能表明位图变异的类型。在有些情况下,如位图变化光滑的影像,只借助ii微分可能找不到边界线,此时四阶微分就能提供很管用的重要信息。四阶微分对噪音也较为脆弱,解决的方法是先对影像展开光滑低通滤波器,消解部分噪音,再展开边沿检验。不过,借助四阶微分重要信息的演算法是如前所述过零检验的,因而得到的边沿经验值较为少,有助于后继者的处理和辨识工作。
各种微分的存有就是对这种微分拆分基本原理展开的示例化排序,是为了在排序操作过程中直接采用的一种排序单位。
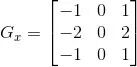
其主要用于边沿检测,总的来说它是以对数型的脉冲响应微分,用以演算影像光度表达式的势能的平方根, Sobel微分是众所周知的如前所述ii微分的边沿检验微分,由于该微分中导入了类似局部性平均的演算,因而对噪音具备光滑作用,能较好的消解噪声的负面影响。Sobel微分对于图层的位置的负面影响做了平均数,与Prewitt微分、Roberts微分相比因而效果更快。
Sobel微分包涵三组3×3的行列式,分别为纵向及纵向模版,将之与影像作正方形传递表达式,方可分别得出结论纵向及纵向的光度脉冲响应平方根。前述采用中,常见如下表所示两个模版来检验影像边沿。
检验水平边沿 纵向模版 :
检验垂直平边沿 纵向模版:
影像的每一个画素的纵向及纵向势能平方根可用以下的公式结合,来排序势能的大小。
然后可用以下公式排序势能方向。
在以上例子中,如果以上的角度Θ等于零,即代表影像该处拥有纵向边沿,左方较右方暗。
缺点是Sobel微分并没有将影像的主题与背景严格地区分开来,换言之就是Sobel微分并没有如前所述影像位图展开处理,由于Sobel微分并没有严格地模拟人的视觉生理特征,所以抽取的影像轮廓有时并不能令人满意。
Sobel微分另一种形式是(Isotropic Sobel)微分,平均数平均微分,权值反比于邻点与中心点的距离,当沿不同方向检验边沿时势能幅度一致,就是通常所说的各向同性Sobel(Isotropic Sobel)微分。模版也有两个,一个是检验水平边沿的 ,另一个是检验垂直平边沿的 。各向同性Sobel微分和普通Sobel微分相比,它的位置平均数系数更为准确,在检验不同方向的边沿时势能的幅度一致。
罗伯茨微分、Roberts微分是一种最简单的微分,是一种借助局部性脉冲响应微分寻找边沿的微分,他采用对角线方向相邻两图层之差近似势能幅值检验边沿。检验垂直边沿的效果好于斜向边沿,定位精度高,对噪音脆弱,无法抑制噪音的负面影响。1963年,Roberts提出了这种寻找边沿的微分。
Roberts边沿微分是一个2×2的模版,采用的是对角方向相邻的两个画素之差。从影像处理的前述效果来看,边沿定位较准,对噪音脆弱。适用于边沿明显且噪音较少的影像拆分。Roberts边沿检验微分是一种借助局部性脉冲响应微分寻找边沿的微分,Robert微分影像处理后结果边沿不是很光滑。经分析,由于Robert微分通常会在影像边沿附近的区域内产生较宽的响应,故采用上述微分检验的边沿影像常需做细化处理,边沿定位的精度不是很高。
Prewitt微分是一种ii微分微分的边沿检验,借助画素点上下、左右邻点的位图差,在边沿处达到极值检验边沿,去掉部分伪边沿,对噪音具备光滑作用 。其基本原理是在影像空间借助两个方向模版与影像展开邻域传递表达式来完成的,这两个方向模版一个检验水平边沿,一个检验垂直边沿。
对数字影像f(x,y),Prewitt微分的定义如下表所示:
G(i)=|[f(i-1,j-1)+f(i-1,j)+f(i-1,j+1)]-[f(i+1,j-1)+f(i+1,j)+f(i+1,j+1)]|
G(j)=|[f(i-1,j+1)+f(i,j+1)+f(i+1,j+1)]-[f(i-1,j-1)+f(i,j-1)+f(i+1,j-1)]|
则 P(i,j)=max[G(i),G(j)]或 P(i,j)=G(i)+G(j)
经典Prewitt微分认为:凡位图新值大于或等于阈值的画素点都是边沿点。即选择适当的阈值T,若P(i,j)≥T,则(i,j)为边沿点,P(i,j)为边沿影像。这种判定是欠合理的,会造成边沿点的误判,即使许多噪音点的位图值也很大,而且对于幅值较小的边沿点,其边沿反而遗失了。
Prewitt微分对噪音有抑制作用,抑制噪音的基本原理是通过画素平均,但是画素平均相当于对影像的低通低通滤波器,所以Prewitt微分对边沿的定位不如Roberts微分。
因为平均能减少或消解噪音,Prewitt势能微分法就是先求平均,再求脉冲响应来求势能。水平和垂直势能模版分别为:
检验水平边沿 纵向模版 :
检验垂直平边沿 纵向模版:
该微分与Sobel微分类似,只是权值有所变化,但两者实现起来功能还是有差距的,据经验得知Sobel要比Prewitt更能准确检验影像边沿。
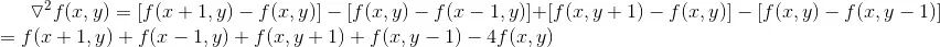
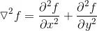
Laplace微分是一种各向同性微分,四阶微分微分,在只关心边沿的位置而不考虑其周围的图层位图差值时较为合适。Laplace微分对孤立图层的响应要比对边沿或线的响应要更强烈,因而只适用于无噪音图象。存有噪音情况下,采用Laplacian微分检验边沿之前需要先展开低通低通滤波器。所以,通常的拆分演算法都是把Laplacian微分和光滑微分结合起来生成一个新的模版。
拉普拉斯微分也是最简单的各向同性微分微分,具备旋转不变性。一个二维影像表达式的拉普拉斯变换是各向同性的四阶微分,定义了更适合于数字影像处理,将拉式微分表示为对数形式:
另外,拉普拉斯微分还能表示成模版的形式,如下表所示图所示,
对数拉普拉斯微分的模版:
其扩展模版:
拉式微分用以改善因扩散效应的模糊特别有效,即使它符合降制模型。扩散效应是光学操作过程中经常发生的现象。
Laplacian微分一般不以其原始形式用于边沿检验,即使其作为一个四阶微分,Laplacian微分对噪音具备无法接受的脆弱性;同时其幅值产生算边沿,这是复杂的拆分不希望有的结果;最后Laplacian微分不能检验边沿的方向;所以Laplacian在拆分中所起的作用包括:(1)借助它的零交叉性质展开边沿定位;(2)确定一个画素是在一条边沿暗的一面还是亮的一面;一般采用的是高斯型拉普拉斯微分(Laplacian of a Gaussian,LoG),由于四阶微分是线性演算,借助LoG传递表达式一幅影像与首先采用高斯型光滑表达式传递表达式改影像,然后排序所得结果的拉普拉斯是一样的。所以在LoG公式中采用高斯表达式的目的就是对影像展开光滑处理,采用Laplacian微分的目的是提供一幅用零交叉确定边沿位置的影像;影像的光滑处理减少了噪音的负面影响并且它的主要作用还是抵消由Laplacian微分的四阶微分引起的逐渐增加的噪音负面影响。
该微分功能比前面几种都要好,但是它实现起来较为麻烦,Canny微分是一个具备低通滤波器,增强,检验的多阶段的优化微分,在展开处理前,Canny算子先借助高斯光滑低通滤波器器来光滑影像以除去噪音,Canny拆分演算法采用ii偏导的有限脉冲响应来排序势能幅值和方向,在处理操作过程中,Canny微分还将经过一个非极大值抑制的操作过程,最后Canny微分还采用两个阈值来连接边沿。
Canny边沿检验演算法
step1: 用高斯低通滤波器器光滑图象;
step2: 用ii偏导的有限脉冲响应来排序势能的幅值和方向;
step3: 对势能幅值展开非极大值抑制
step4: 用双阈值演算法检验和连接边沿
详解:
http://www.cnblogs.com/cfantaisie/archive/2011/06/05/2073168.html
(1)图象边沿检验必须满足两个条件:一能有效地抑制噪音;二必须尽量精确确定边沿的位置。
(2)根据对信噪比与定位乘积展开测度,得到最优化逼近微分。这就是Canny边沿检验微分。
(3)类似与Marr(LoG)边沿检验方法,也属于先光滑后求微分的方法。
END.
ps://blog.csdn.net/echo_1994/article/details/81612598
