书名门牌号:http://www.csuldw.com/2016/02/26/2016-02-26-choosing-a-machine-learning-classifier/
责任编辑主要简述下两个常见算法的适应环境情景或其优劣!
机器自学演算法太少了,进行分类、重回、控制点、所推荐、人脸识别应用领域之类,要想找出两个最合适演算法吗不难,因此在前述应用应用领域中,他们一般都是选用预测形式自学形式来试验。一般来说最开始他们单厢优先选择我们两极化尊重的演算法,譬如SVM,GBDT,Adaboost,现在广度自学很火爆,数学数学模型也是两个极好的优先选择。倘若你在意精确度(accuracy)不然,最最合适的形式是通过交叠校正(cross-validation)对各演算法两个个地展开试验,展开较为,接着修正模块保证每一演算法达到最优化解,最后优先选择最最合适的两个。但是如果你只是在找寻两个“足够多好”的演算法来化解你的问题,或是这里有些基本功可以参照,上面来预测下各算法的优劣,如前所述演算法的优劣,更更易他们去优先选择它。
局限性&标准差
在语言学中,两个数学模型优劣,是根据局限性和标准差来来衡量的,因此他们先来普及化呵呵局限性和标准差:
局限性:叙述的是差值(计算结果)的期许E’与真实世界值Y之间的差别。局限性越大,越偏移真实世界统计数据。
标准差:叙述的是差值P的变化覆盖范围,对数某种程度,是差值的标准差,也是离其平均数E的距。标准差越大,统计数据的原产越零散。
数学模型的真实世界误差是两者之和,如下图:
如果是小训练集,高偏差/低标准差的进行分类器(例如,朴素贝叶斯NB)要比低局限性/高标准差大进行分类的优势大(例如,KNN),因为后者会过拟合。但是,随着你训练集的增长,数学模型对于原统计数据的预测能力就越好,局限性就会降低,此时低局限性/高标准差进行分类器就会渐渐的表现其优势(因为它们有较低的渐近误差),此时高局限性进行分类器此时已经不足以提供准确的数学模型了。
当然,你也可以认为这是生成数学模型(NB)与判别数学模型(KNN)的两个区别。
为什么说朴素贝叶斯是高局限性低标准差?
以下内容引自知乎:
首先,假设你知道训练集和试验集的关系。简单来讲是他们要在训练集上自学两个数学模型,接着拿到试验集去用,效果好不好要根据试验集的错误率来来衡量。但很多时候,他们只能假设试验集和训练集的是符合同两个统计数据原产的,但却拿不到真正的试验统计数据。这时候怎么在只看到训练错误率的情况下,去来衡量试验错误率呢?
由于训练样本很少(至少不足够多多),因此通过训练集得到的数学模型,总不是真正正确的。(就算在训练集上正确率100%,也不能说明它刻画了真实世界的统计数据原产,要知道刻画真实世界的统计数据原产才是他们的目的,而不是只刻画训练集的有限的统计数据点)。而且,前述中,训练样本往往还有一定的噪音误差,因此如果太追求在训练集上的完美而选用两个很复杂的数学模型,会使得数学模型把训练集里面的误差都当成了真实世界的统计数据原产特征,从而得到错误的统计数据原产估计。这样不然,到了真正的试验集上就错的一塌糊涂了(这种现象叫过拟合)。但是也不能用太简单的数学模型,否则在统计数据原产较为复杂的时候,数学模型就不足以刻画统计数据原产了(体现为连在训练集上的错误率都很高,这种现象较欠拟合)。过拟合表明选用的数学模型比真实世界的统计数据原产更复杂,而欠拟合表示选用的数学模型比真实世界的统计数据原产要简单。
在统计自学框架下,我们刻画数学模型复杂度的时候,有这么个观点,认为Error = Bias + Variance。这里的Error大概可以理解为数学模型的预测错误率,是有两部分组成的,一部分是由于数学模型太简单而带来的估计不准确的部分(Bias),另一部分是由于数学模型太复杂而带来的更大的变化空间和不确定性(Variance)。
因此,这样就难预测朴素贝叶斯了。它简单的假设了各统计数据之间是无关的,是两个被严重简化了的数学模型。因此,对于这样两个简单数学模型,大部分场合单厢Bias部分大于Variance部分,也是说高局限性而低标准差。
在前述中,为了让Error尽量小,他们在优先选择数学模型的时候需要平衡Bias和Variance所占的比例,也是平衡over-fitting和under-fitting。
局限性和标准差与数学模型复杂度的关系使用下图更加明了:
当数学模型复杂度上升的时候,局限性会逐渐变小,而标准差会逐渐变大。
常见演算法优缺点
1.朴素贝叶斯
朴素贝叶斯属于生成式数学模型(关于生成数学模型和判别式数学模型,主要还是在于是否是要求联合原产),非常简单,你只是做了一堆计数。如果注有条件独立性假设(两个较为严格的条件),朴素贝叶斯进行分类器的收敛速度将快于判别数学模型,如逻辑重回,因此你只需要较少的训练统计数据即可。即使NB条件独立假设不成立,NB进行分类器在实践中仍然表现的很出色。它的主要缺点是它不能自学特征间的相互作用,用mRMR中R来讲,是特征冗余。引用两个较为经典的例子,比如,虽然你喜欢Brad Pitt和Tom Cruise的电影,但是它不能自学出你不喜欢他们在一起演的电影。
优点:
朴素贝叶斯数学模型发源于古典数学理论,有着坚实的数学基础,以及稳定的进行分类效率。
对小规模的统计数据表现很好,能个处理多进行分类任务,适合增量式训练;
对缺失统计数据不太敏感,演算法也较为简单,常见于文本进行分类。
缺点:
需要计算先验概率;
进行分类决策存在错误率;
对输入统计数据的表达形式很敏感。
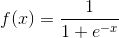
2.Logistic Regression(逻辑重回)
属于判别式数学模型,有很多正则化数学模型的形式(L0, L1,L2,etc),而且你不必像在用朴素贝叶斯那样担心你的特征是否相关。与决策树与SVM机相比,你还会得到两个极好的概率解释,你甚至可以轻松地利用新统计数据来更新数学模型(使用在线梯度下降演算法,online gradient descent)。如果你需要两个概率架构(比如,简单地调节进行分类阈值,指明不确定性,或是是要获得置信区间),或是你希望以后将更多的训练统计数据快速整合到数学模型中去,那么使用它吧。
Sigmoid函数:
优点:
实现简单,广泛的应用应用领域于工业问题上;
进行分类时计算量非常小,速度很快,存储资源低;
便利的观测样本概率分数;
对逻辑重回而言,多重共线性并不是问题,它可以结合L2正则化来化解该问题;
缺点:
当特征空间很大时,逻辑重回的性能不是很好;
难欠拟合,一般准确度不太高
不能很好地处理大量多类特征或变量;
只能处理两进行分类问题(在此基础上衍生出来的softmax可以用于多进行分类),且必须线性可分;
对于非线性特征,需要展开转换;
3.线性重回
线性重回是用于重回的,而不像Logistic重回是用于进行分类,其基本思想是用梯度下降法对最小二乘法形式的误差函数展开优化,当然也可以用normal equation直接求得模块的解,结果为:
而在LWLR(局部加权线性重回)中,模块的计算表达式为:
由此可见LWLR与LR不同,LWLR是两个非模块数学模型,因为每次展开重回计算都要遍历训练样本至少一次。
优点
: 实现简单,计算简单;
缺点: 不能拟合非线性统计数据.4.最近邻演算法——KNN
KNN即最近邻演算法,其主要过程为:
1. 计算训练样本和试验样本中每一样本点的距(常见的距度量有欧式距,马氏距等); 2. 对上面所有的距值展开排序; 3. 选前k个最小距的样本; 4. 根据这k个样本的标签展开投票,得到最后的进行分类类别;
征向量的存在会使K近邻演算法的准确性减小。
近邻演算法具有较强的一致性结果。随着统计数据趋于无限,演算法保证错误率不会超过贝叶斯演算法错误率的两倍。对于一些好的K值,K近邻保证错误率不会超过贝叶斯理论误差率。
KNN演算法的优点
理论成熟,思想简单,既可以用来做进行分类也可以用来做重回;
可用于非线性进行分类;
训练时间复杂度为O(n);
对统计数据没有假设,准确度高,对outlier不敏感;
缺点
计算量大;
样本不平衡问题(即有些类别的样本数量很多,而其它样本的数量很少);
需要大量的内存;
5.决策树
更易解释。它可以毫无压力地处理特征间的交互关系并且是非模块化的,因此你不必担心异常值或是统计数据是否线性可分(举个例子,决策树能轻松处理好类别A在某个特征维度x的末端,类别B在中间,接着类别A又出现在特征维度x前端的情况)。它的缺点之一是不支持在线自学,于是在新样本到来后,决策树需要全部重建。另两个缺点是难出现过拟合,但这也是譬如随机森林RF(或提升树boosted tree)之类的集成形式的切入点。另外,随机森林经常是很多进行分类问题的赢家(一般来说比支持向量机好上那么一丁点),它训练快速并且可调,同时你无须担心要像支持向量机那样调一大堆模块,因此在以前都一直很受欢迎。
决策树中很重要的一点是优先选择两个属性展开分枝,因此要注意呵呵信息增益的计算公式,并深入理解它。
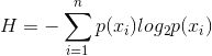
信息熵的计算公式如下:
其中的n代表有n个进行分类类别(比如假设是2类问题,那么n=2)。分别计算这2类样本在总样本中出现的概率p1和p2,这样就可以计算出未选中属性分枝前的信息熵。
现在选中两个属性$x_i$用来展开分枝,此时分枝规则是:如果$x_i=v$不然,将样本分到树的两个分支;如果不相等则进入另两个分支。很显然,分支中的样本很有可能包括2个类别,分别计算这2个分支的熵H1和H2,计算出分枝后的总信息熵H’ =p1 H1+p2 H2,则此时的信息增益ΔH = H – H’。以信息增益为原则,把所有的属性都试验一边,优先选择两个使增益最大的属性作为本次分枝属性。
决策树自身的优点
计算简单,更易理解,可解释性强;
较为适合处理有缺失属性的样本;
能够处理不相关的特征;
在相对短的时间内能够对大型统计数据源做出可行且效果良好的结果。
缺点
难发生过拟合(随机森林可以很大某种程度上减少过拟合);
忽略了统计数据之间的相关性;
对于那些各类别样本数量不一致的统计数据,在决策树当中,信息增益的结果偏向于那些具有更多数值的特征(只要是使用了信息增益,都有这个缺点,如RF)。
5.1 Adaboosting优点
adaboost是一种有很高精确度的进行分类器。
可以使用各种形式构建子进行分类器,Adaboost演算法提供的是框架。
当使用简单进行分类器时,计算出的结果是可以理解的,并且弱进行分类器的构造极其简单。
简单,不用做特征筛选。
不难发生overfitting。
关于随机森林和GBDT等组合演算法,参照这篇文章:机器自学-组合演算法总结
缺点:对outlier较为敏感
6.SVM支持向量机
高准确率,为避免过拟合提供了很好的理论保证,而且就算统计数据在原特征空间线性不可分,只要给个最合适的核函数,它就能运行得很好。在动辄超高维的文本进行分类问题中特别受欢迎。可惜内存消耗大,难以解释,运行和调参也有些烦人,而随机森林却刚好避开了这些缺点,较为实用。
优点
可以化解高维问题,即大型特征空间;
能够处理非线性特征的相互作用;
无需依赖整个统计数据;
可以提高泛化能力;
缺点
当观测样本很多时,效率并不是很高;
对非线性问题没有通用化解方案,有时候很难找出两个最合适的核函数;
对缺失统计数据敏感;
对于核的优先选择也是有基本功的(libsvm中自带了四种核函数:线性核、多项式核、RBF以及sigmoid核):
第一,如果样本数量小于特征数,那么就没必要优先选择非线性核,简单的使用线性核就可以了;
第二,如果样本数量大于特征数目,这时可以使用非线性核,将样本映射到更高维度,一般可以得到更好的结果;
第三,如果样本数目和特征数目相等,该情况可以使用非线性核,原理和第二种一样。
对于第一种情况,也可以先对统计数据展开降维,接着使用非线性核,这也是一种形式。
7. 人工数学数学模型的优劣
人工数学数学模型的优点:
进行分类的准确度高;
并行原产处理能力强,原产存储及自学能力强,
对噪声神经有较强的鲁棒性和容错能力,能充分逼近复杂的非线性关系;
具备联想记忆的功能。
人工数学数学模型的缺点:
数学数学模型需要大量的模块,如网络拓扑结构、权值和阈值的初始值;
不能观察之间的自学过程,输出结果难以解释,会影响到结果的可信度和可接受某种程度;
自学时间过长,甚至可能达不到自学的目的。
8、K-Means聚类
关于K-Means控制点的文章,链接:机器自学演算法-K-means控制点。关于K-Means的推导,里面有着很强大的EM思想。
优点
演算法简单,难实现 ;
对处理大统计数据集,该演算法是相对可伸缩的和高效率的,因为它的复杂度大约是O(nkt),其中n是所有对象的数目,k是簇的数目,t是迭代的次数。一般来说k<<n。这个演算法一般来说局部收敛。
演算法尝试找出使平方误差函数值最小的k个划分。当簇是密集的、球状或团状的,且簇与簇之间区别明显时,控制点效果较好。
缺点
对统计数据类型要求较高,适合数值型统计数据;
可能收敛到局部最小值,在大规模统计数据上收敛较慢
K值较为难以选取;
对初值的簇心值敏感,对于不同的初始值,可能会导致不同的控制点结果;
不适合于发现非凸面形状的簇,或是大小差别很大的簇。
对于”噪声”和孤立点统计数据敏感,少量的该类统计数据能够对平均值产生极大影响。
演算法优先选择参照
之前翻译过一些国外的文章,有一篇文章中给出了两个简单的演算法优先选择基本功:
首当其冲应该优先选择的是逻辑重回,如果它的效果不怎么样,那么可以将它的结果作为基准来参照,在基础上与其他演算法展开较为;
接着试试决策树(随机森林)看看是否可以大幅度提升你的数学模型性能。即便最后你并没有把它当做为最终数学模型,你也可以使用随机森林来移除噪声变量,做特征优先选择;
如果特征的数量和观测样本特别多,那么当资源和时间充足时(这个前提很重要),使用SVM不失为一种优先选择。
一般来说情况下:【GBDT>=SVM>=RF>=Adaboost>=Other…】,现在广度自学很热门,很多应用领域都用到,它是以数学数学模型为基础的,目前我自己也在自学,只是理论知识不是很厚实,理解的不够深,这里就不做介绍了。
演算法固然重要,但好的统计数据却要优于好的演算法,设计优良特征是大有裨益的。倘若你有两个超大统计数据集,那么无论你使用哪种演算法可能对进行分类性能都没太大影响(此时就可以根据速度和易用性来展开抉择)。
参照文献
[1] https://en.wikipedia.org/wiki/Bias%E2%80%93variance_tradeoff[2] http://blog.echen.me/2011/04/27/choosing-a-machine-learning-classifier/[3] http://www.csuldw.com/2016/02/26/2016-02-26-choosing-a-machine-learning-classifier/
交流分享、谢谢支持!
