一、简述
python 是两个多层面的紧密结合了如前所述、校对性、交互性和流程语言的如前所述C语言。只不过python的此基础句法跟其他C语言都十分类似于,而已读法很多不那样罢了。
有关Python更详尽的如是说和环境预备能参照我这首诗:Python 如是说和大自然环境预备
二、表达式1)表达式表述
句法准则:
cp = 值 cp = cp = 值
比如:
var1 = 123 var2 = var3 = 456
表述表达式的语法准则尾端的=,并并非微积分中等于号的原意,在C语言中而要表达式的原意。表达式:只不过流程在继续执行的这时候,先排序等号(=)右边的值,接着把右边的值表达式给等号右边的cp中。
特别注意点:cp自表述,要满足用户URL的重新命名准则。2)表述表达式的准则表达式重新命名规范化 – URL重新命名准则是Python中表述各式各样英文名字的这时候的标准化规范化,具体内容规范化如下表所示:
由位数、拉丁字母、换行共同组成无法以位数结尾无法采用Python内建URL严苛界定大小写上面是列出的常用URL,那些URL不必去背,在自学Python的操作过程中大自然就会提过的,不必就不能犯错误,也能透过keyword组件查阅
import keyword print(keyword.kwlist) # [False, None, True, and, as, assert, break, class, continue, def, del, elif, else, except, finally, for, from, global, if, import, in, is, lambda, nonlocal, not, or, pass, raise, return, try, while, with, yield]
3)表达式重新命名规范化
见名知义大驼峰:即每个单词首拉丁字母都大写,比如:UserName小驼峰:第二个(含)以后的单词首拉丁字母大写,力比如:userName换行:比如:user_name4)表达式类型转换Python是弱类型语言,弱类型语言有上面两个特点:
表达式不必先声明就能直接表达式,对两个没声明的表达式表达式就相当于表述了两个新表达式。表达式的数据类型能改变,如,两个表达式能先被表达式为字符串,后再被表达式为整数。在Python中,为了应对不同的业务需求,把数据分为上面几种类型:
Number(位数)int:有符号整型long:长整型,也能代表八进制和十六进制(Python3中没有)float:浮点型complex:复数String(字符串)Boolean 布尔类型True 真False 假List(列表)Tuple(元组)Set(集合)Dictionary(字典)Python3 的六个标准数据类型中:
【温馨提示】不管对于多大或者多小的整数,Python 3.x 只用 int 一种类型存储,表示为长整型,并且整数的取值范围是无限的。示比如下表所示:
# 类型转换 age = 18 #打印age看一下值,这里透过type()函数来输出age的类型 print(age, type(age)) # #强制类型转换把age转换为浮点型,再输出一下age的值和age的类型 age = float(age) print(age, type(age))
常用的类型转换函数:
函数
功能
int(x)
把x转换为整数
float(x)
把x转换为浮点数
str(x)
把x转换为字符串类型
list(x)
把x转换为列表类型
chr(x)
把x转换为两个字符
ord(x)
把字符x转换为相应整数值
hex(x)
把整数x转换为十六进制字符串
oct(x)
把整数x转换为八进制字符串
三、注释
Python 中的注释有单行注释和多行注释,注释不能影响流程的继续执行,只会使代码更易于阅读和理解。
1)单行注释
Python 中单行注释以 # 结尾,比如:
print(“Hello, World!”)2)多行注释
多行注释用三个单引号 或者三个双引号 “””将注释括起来,比如:
1、单引号()注释#!/usr/bin/python3 这是多行注释,用三个单引号 这是多行注释,用三个单引号 这是多行注释,用三个单引号 print(“Hello, World!”)2、双引号(”””)注释#!/usr/bin/python3 “”” 这是多行注释,用三个双引号 这是多行注释,用三个双引号 这是多行注释,用三个双引号 “”” print(“Hello, World!”)四、运算符
Python的运算符,运算符是一些特殊的符号,透过运算符将不同的数据连接构成表达式。先透过一张图来看一下常用操作符。
1)算术运算符
运算符
功能
输入
输出
66+22
88
66-22
44
11*6
66
60/10
6
取余
10%9
1
整除
20//9
2
3**3
27,即三的三次方
2)关系运算符
表述:a=1,b=2
运算符
功能
输入
输出
大于
a>b
False
小于
a
False
不等于
a!=b
True
判段是否相等
a==b
False
大于等于
a>=b
False
小于等于
a<=b
True
3)表达式运算符
表达式运算符从字面上能理解为赋给表达式两个值,通常我们用=将右边的指赋给右边。上面来透过下表来看一下常用的表达式运算符:
运算符
功能
输入
表达式
a=2
减表达式
a-=2(a=a-2)
加表达式
a+=2(a=a+2)
乘表达式
a=2(a=a2)
除表达式
a/=2(a=a/2)
取余表达式
a%=2(a=a%2)
幂表达式
a=2(a=a2)
整除表达式
a//=2(a=a//2)
4) 逻辑运算符
表述:a=5,b=1
运算符
功能
输入
输出
and
a>0 and a>b
True
or
a>100 or a>b
True
not
not(a>b and a>0)
False
5)位运算符
位操作符属于操作符中比较难的内容,位操作符以二进制为单位进行运算,操作的对象以及结果都是整数型。位操作符有如下表所示几个:&(按位与)、|(按位或)、^(按位异或)、~(按位取反)、>>(右位移)和<<(左位移)。具体内容说明看下表:
运算符
名称
例子
功能
按位与
A&B
A和B进行位与运算
按位或
A|B
A和B进行位或运算
按位取反
~A
A进行取反运算
按位异或
A^B
A和B进行位异或运算
右位移
A>>c
A右移c位
左位移
A<
A左移c位
1、位与运算(A&B)
位与运算中,A和B按位进行与运算,当每位对应全是1的这时候对应结果位1,反之为0
【结论】能看出,当10111001&00100011得到00100011。当对应位同时为1才为1。2、位或运算(A|B)【结论】能看出,当10110010 | 01011110得到11111110,对应位置存在两个1的这时候即为1。3、异或位运算(A^B)【结论】能看出,10110010^01011110得到11101100,对应位置相反的这时候,即0对应1,1对应0的这时候得到1。4、按位取反运算(~A)【结论】按位取反的操作过程中需要运用补码运算,即0补为1,1补为0。5、左右位移右移时,(第一行为移动前,第二行为移动后)
【结论】右边最低位为溢出位被丢弃,在填充左侧最高位时,如果最高位是0,则填0,如果最高位是1,则填1。右移相当于除上2的n次方。左移时, (第一行为移动前,第二行为移动后)
【结论】右边最高位为溢出位被丢弃,在最右边空位补0,左移相当于乘上2的n次方。运算符优先级如下表所示:
五、数据类型
Python3 中有七个标准的数据类型:
Number(位数)Boolean(布尔类型)String(字符串)List(列表)Tuple(元组)Dictionary(字典)Set(集合)位数和布尔类型就没什么可说的了,这里主要讲一下另外五种类型:字符串、列表、元组、字典、集合
1)String(字符串)1、创建字符串
字符串是 Python 中最常用的数据类型。我们能采用引号( 或 ” )来创建字符串。创建字符串很简单,只要为表达式分配两个值即可。比如:
var1 = Hello World!2、字符串连接
字符串自带连接方法,在连接的这时候我们能采用+直接连接或追加两个字符串到另两个字符串的末尾。
示比如下表所示:
>>> my_str = www.test.com >>> my_str www.test.com >>> his_str = 人生苦短,我用Python >>> my_str + his_str www.test.com人生苦短,我用Python3、字符串切片
字符串切片是十分常用的功能,示比如下表所示:
>>> my_str = www.test.com >>> my_str www.test.com >>> my_str[0:2]#透过切片访问0-1 ww >>> my_str[3:6]#3-5 .te >>> my_str[7:10]#7-9 t.c >>> my_str[::2]#步长为2的访问整个字符串 wwts.o >>> my_str[::-1]#逆置字符串 moc.tset.www4、字符串常用方法【1】count()方法
通常采用count()方法来统计字符串中的某个元素在字符串中出现的次数,如果不存在返回0,如果存在则返回存在的次数,句法格式如下表所示:
my_str.count(x)
my_str 为我们要检索的字符串名,x为我们要统计的字符。示比如下表所示:
>>> my_str = www.test.com >>> my_str www.test.com >>> my_str.count(w) 3 >>> my_str.count(.) 2 >>> my_str.count(t) 2 >>> my_str.count(*) 0
返回的位数即该字符在字符串中出现的次数,因为*不存在,所以返回值为0。
【2】find()方法
find方法来检索字符串中是否包含指定元素,如果包含该元素则返回该元素第一次出现的索引位置,如果不存在该字符则返回-1,它的句法结构为:
my_str.find(x)
my_str 为要检索的字符串名,x为我们要寻找的元素。示比如下表所示:
>>> my_str = www.test.com >>> my_str www.test.com >>> my_str.find(w)#寻找字符w 0 >>> my_str.find(t)#寻找字符p 4 >>> my_str.find(m)#寻找字符m 11 >>> my_str.find(*)#寻找字符*,因为*不存在因而返回-1 -1【3】index()方法
index()方法和find()方法类似于,index()方法在检索到指定字符的这时候也会返回该字符第一次出现的索引位置,但是如果检索不到就会抛出异常,它的句法格式为:
my_str.index(x)
my_str为要检索的字符串名,x为要寻找的元素。示比如下表所示:
>>> my_str = www.test.com >>> my_str.index(w) 0 >>> my_str.index(o) 10 >>> my_str.index(*) Traceback (most recent call last): File “”, line 1, in ValueError: substring not found
上面三种方法为他们的省略格式,在标准文档中,他们的格式分别为:
my_str.count(x[,start[,end]]) my_str.find(x[,start[,end]]) my_str.index(x[,start[,end]])
示比如下表所示:
>>> my_str = www.test.com >>> my_str.index(o,6,13)#在6-12之间寻找o 10 >>> my_str.count(w,0,5)#统计w在0-4之间存在的次数 3 >>> my_str.find(t,3,9)#在3-8之间寻找t 4【4】lower()方法和upper()方法
这两种方法和上一节的测试方法类似于,前者lower()是返回两个副本,副本中把字符串中所有字符转换为了小写字符,而后者upper()是返回两个副本,副本中把字符串中所有字符转换为了大写字符。
示比如下表所示:
>>> my_str = ABCabc#包含UTF拉丁字母的字符串 >>> my_str.upper()#将字符串全部大写 ABCABC >>> my_str.lower()#将字符串全部小写 abcabc >>> my_str#再看一下原始字符串有没有改变 ABCabc【5】lstrip()方法、rstrip ()方法和strip()方法
这三种方法的原理类型,他们都是用于处理字符串中的空白字符。
lstrip()方法会返回两个副本,副本中的字符串删除所有前导的空白字符rstrip()方法会返回两个副本,副本中的字符串删除所有后导的空白字符strip()方法会返回两个副本,副本中的字符串删除所有前导和后导的空白字符示比如下表所示:
>>> my_str = \n\t www.test.com \t\n >>> my_str.rstrip()#返回删除后导空白字符的副本 \n\t >>> my_str.lstrip()#返回删除前导空白字符的副本 www.test.com \t\n >>> my_str.strip()#返回删除前导后导空白字符的副本 www.test.com【6】replace() 方法
replace()方法返回两个副本,副本中将我们需要替代的字符替换掉,它的句法格式为:
my_str.replace(old,new)
my_str为字符串名,old为要替换掉的字符,new为替换上的字符。示比如下表所示:
>>> my_str = www.test.com >>> my_str.replace(test,hello) www.hello.com5、格式化字符串
格式化字符串就是在先创建两个空间,接着再这个空间留几个位置,接着根据需求填入相应的内容,这里留出的位置相当于占位符,格式化字符串有两种方式。一种是采用%操作符,一种是采用format()方法。
【1】 %操作符
%操作符在我们格式化字符串的这时候十分方便,它的句法结构如下表所示:
%[+][-][0][.m]格式化字符%iteration
iteration为我们要填入的内容,第两个%后面为我们要选择的格式。[+]为右对齐,位数大小代表对齐宽度。[-]为左对齐,位数大小代表对齐宽度。[.m]中的m为可选精度,表示保留小数点后几位小数。格式化字符为我们需要选定的格式,它的常用类型为字符串%s十进制整数%d单字符%c浮点数%f十六进制数%x八进制数%o字符%%示比如下表所示:
>>> my_str =66666.66666 >>> print(保留2位小数格式为:%.2f%my_str)保留2位小数格式为:66666.67 >>> for i in range(5): … print(%-5d%i,end= )#左对齐方式 … print(%5d%i)#右对齐方式 … 0 0 1 1 2 2 3 3 4 4【2】format()方法
format()方法提供了更多的方法去格式化字符串,它的基本句法是透过‘{}’和‘:’来代替‘%’。它的句法格式为:
str.format()
示例如下表所示:
namea = 小明 nameb = 小华 print({}是{}的好朋友.format(namea,nameb))2)List(列表)
列表是最常用的 Python 数据类型,它能作为两个方括号内的逗号分隔值出现。在其他语言里叫做数组。
1、创建列表
创建两个列表,只要把逗号分隔的不同的数据项采用方括号括起来即可。如下表所示所示:
list1 = [Google, test, 1997, 2000] list2 = [1, 2, 3, 4, 5 ] list3 = [“a”, “b”, “c”, “d”] list4 = [red, green, blue, yellow, white, black]2、访问列表中的值
与字符串的索引那样,列表索引从 0 开始,第二个索引是 1,依此类推。
#!/usr/bin/python3 list = [red, green, blue, yellow, white, black] print( list[0] ) print( list[1] ) print( list[2] )
索引也能从尾部开始,最后两个元素的索引为 -1,往前一位为 -2,以此类推。
#!/usr/bin/python3 list = [red, green, blue, yellow, white, black] print( list[-1] ) print( list[-2] ) print( list[-3] )3、更新列表#!/usr/bin/python3 list = [Google, test, 1997, 2000] print (“第三个元素为 : “, list[2]) list[2] = 2001 print (“更新后的第三个元素为 : “, list[2]) list1 = [Google, test, Taobao] list1.append(Baidu) print (“更新后的列表 : “, list1)4、删除列表元素#!/usr/bin/python3 list = [Google, test, 1997, 2000] print (“原始列表 : “, list) del list[2] print (“删除第三个元素 : “, list)5、列表截取与拼接
列表截取示比如下表所示:
>>>L=[Google, test, Taobao] >>> L[2] Taobao >>> L[-2] Runoob >>> L[1:] [test, Taobao] >>>
列表拼接示比如下表所示:
>>>squares = [1, 4, 9, 16, 25] >>> squares += [36, 49, 64, 81, 100] >>> squares [1, 4, 9, 16, 25, 36, 49, 64, 81, 100] >>>6、常用方法
len(list)——列表元素个数list(seq)——将元组转换为列表max(list)——返回列表元素最大值min(list)——返回列表元素最小值list.append(obj)——在列表末尾添加新的对象list.insert(index, obj)——在列表头部添加新的对象list.pop([index=-1])——移除列表中的两个元素(默认最后两个元素),并且返回该元素的值list.remove(obj)——移除列表中某个值的第两个匹配项list.reverse()——反向列表中元素list.sort( key=None, reverse=False)——对原列表进行排序list.clear()——清空列表3)Tuple(元组)Python 的元组与列表类似于,不同之处在于元组的元素无法修改元组采用小括号( ),列表采用方括号 [ ]。元组创建很简单,只需要在括号中添加元素,并采用逗号隔开即可。1、创建元组示比如下表所示:
>>> tup1 = (Google, test, 1997, 2000) >>> tup2 = (1, 2, 3, 4, 5 ) >>> tup3 = “a”, “b”, “c”, “d” # 不需要括号也能 >>> type(tup3)2、访问元组
元组能采用下标索引来访问元组中的值,如下表所示实例:
>>> tup1 = (Google, test, 1997, 2000) >>> tup2 = (1, 2, 3, 4, 5, 6, 7 ) >>> print (“tup1[0]: “, tup1[0]) tup1[0]: Google >>> print (“tup2[1:5]: “, tup2[1:5]) tup2[1:5]: (2, 3, 4, 5) >>>3、修改元组
元组中的元素值是不允许修改的,但我们能对元组进行连接组合生成两个新的元组,原有的元组是不变的,如下表所示实例:
>>> tup1 = (12, 34.56) >>> tup2 = (abc, xyz) >>> tup3 = tup1 + tup2 >>> print (tup3) (12, 34.56, abc, xyz) >>>4、删除元组
元组中的元素值是不允许删除的,但我们能采用del语句来删除整个元组,如下表所示实例:
>>> tup = (Google, Runoob, 1997, 2000) >>> print (tup) (Google, Runoob, 1997, 2000) >>> del tup >>> print (“删除后的元组 tup : “) 删除后的元组 tup : >>> print (tup) Traceback (most recent call last): File “”, line 1, in NameError: name tup is not defined >>>5、元组截取
示比如下表所示:
>>> tup = (Google, test, Taobao, Wiki, Weibo,Weixin) >>> tup[1] test >>> tup[-2] Weibo >>> tup[1:] (test, Taobao, Wiki, Weibo, Weixin) >>> tup[1:4] (test, Taobao, Wiki) >>>6、常用函数
len(tuple)——排序元组元素个数。max(tuple)——返回元组中元素最大值。min(tuple)——返回元组中元素最小值。tuple(iterable)——将可迭代系列转换为元组。4)Dictionary(字典)字典和列表和元组不同,字典中存储的是一组数据,且可存储任意类型的数据。字典的每个键值 key=>value 对用冒号 : 分割,每个对之间用逗号(,)分割,整个字典包括在花括号 {} 中 ,格式如下表所示所示:
d = {key1 : value1, key2 : value2, key3 : value3 }
1、创建字典tinydict1 = { abc: 456 } tinydict2 = { abc: 123, 98.6: 37 }2、访问字典里的值>>> tinydict = {Name: test, Age: 7, Class: First} >>> print (“tinydict[Name]: “, tinydict[Name]) tinydict[Name]: test >>> print (“tinydict[Age]: “, tinydict[Age]) tinydict[Age]: 73、修改字典>>> tinydict = {Name: test, Age: 7, Class: First} >>> tinydict[Age] = 8 # 更新 Age >>> tinydict[School] = “python教程” # 添加信息 >>> print (“tinydict[Age]: “, tinydict[Age]) tinydict[Age]: 8 >>> print (“tinydict[School]: “, tinydict[School]) tinydict[School]: python教程 >>>4、删除字典元素>>> tinydict = {Name: test, Age: 7, Class: First} >>> del tinydict[Name] # 删除键 Name >>> tinydict.clear() # 清空字典 >>> del tinydict # 删除字典 >>> print (“tinydict[Age]: “, tinydict[Age]) Traceback (most recent call last): File “”, line 1, in NameError: name tinydict is not defined >>> print (“tinydict[School]: “, tinydict[School]) Traceback (most recent call last): File “”, line 1, in NameError: name tinydict is not defined >>>
但这会引发两个异常,因为用继续执行 del 操作后字典不再存在。
5、常用方法
len(dict)——排序字典元素个数,即键的总数。str(dict)——输出字典,能打印的字符串表示。type(variable)——返回输入的表达式类型,如果表达式是字典就返回字典类型。dict.clear()——删除字典内所有元素。dict.get(key, default=None)——返回指定键的值,如果键不在字典中返回 default 设置的默认值key in dict——如果键在字典dict里返回true,否则返回false。dict.items()——以列表返回两个视图对象。dict.keys()——返回两个视图对象。dict.values()——返回两个视图对象。pop(key[,default])——删除字典 key(键)所对应的值,返回被删除的值。5)Set(集合)集合(set)是两个无序的不重复元素序列。能采用大括号 { } 或者 set() 函数创建集合。parame = {value01,value02,…} 或者 set(value)【特别注意】创建两个空集合必须用 set()而并非 { },因为 { } 是用来创建两个空字典。
1、创建集合basket = {apple, orange, apple, pear, orange, banana}2、访问集合元素print(basket)3、添加集合元素s.add( x )
将元素 x 添加到集合 s 中,如果元素已存在,则不进行任何操作。示比如下表所示:
>>> thisset = set((“Google”, “test”, “Taobao”)) >>> thisset.add(“Facebook”) >>> print(thisset) {Taobao, Google, test, Facebook} >>>
还有两个方法,也能添加元素,且参数能是列表,元组,字典等,句法格式如下表所示:
s.update( x )
示比如下表所示:
>>> thisset = set((“Google”, “test”, “Taobao”)) >>> thisset.update({1,3}) >>> print(thisset) {1, Google, 3, Taobao, test} >>> thisset.update([1,4],[5,6]) >>> print(thisset) {1, Google, 3, 4, 5, 6, Taobao, test} >>>
【温馨提示】添加的元素位置是不确定的,是随机的。4、移除元素句法格式如下表所示:
s.remove( x )
示比如下表所示:
>>> thisset = set((“Google”, “test”, “Taobao”)) >>> thisset.remove(“Taobao”) >>> print(thisset) {Google, test} >>> thisset.remove(“Facebook”) Traceback (most recent call last): File “”, line 1, in KeyError: Facebook >>>
从上面可知,删除不存在的元素会报错,如果元素不存在,不能发生错误。格式如下表所示所示:
s.discard( x )
示比如下表所示:
>>> thisset = set((“Google”, “test”, “Taobao”)) >>> thisset.discard(“Google”) >>> print(thisset) {Taobao, test} >>> thisset.discard(“Facebook”) >>> print(thisset) {Taobao, test} >>>5、常用函数
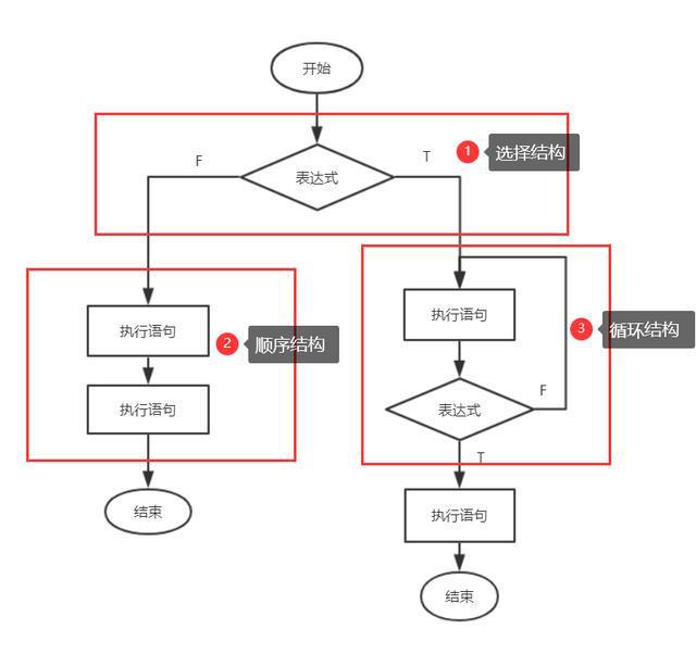
len(s)——排序集合元素个数。s.add(x)——给集合添加元素。s.update(x)——给集合添加元素。s.remove(x)——移除指定元素。s.union(s2)——返回两个集合的并集。s.clear()——清空集合。x in s——判断元素是否在集合中存在。六、流程控制流程控制三种结构,它们分别是顺序结构、选择结构、循环结构。
1)选择结构1、if语句
Python 条件语句是透过一条或多条语句的继续执行结果(True 或者 False)来决定继续执行的代码块。
句法格式如下表所示:
if 表达式1: 语句 if 表达式2: 语句 elif 表达式3: 语句 else: 语句 elif 表达式4: 语句 else: 语句
示比如下表所示:
# !/usr/bin/python3 num=int(input(“输入两个位数:”)) if num%2==0: if num%3==0: print (“你输入的位数能整除 2 和 3”) else: print (“你输入的位数能整除 2,但无法整除 3”) else: if num%3==0: print (“你输入的位数能整除 3,但无法整除 2”) else: print (“你输入的位数无法整除 2 和 3”)2、match..case语句
Python 3.10 增加了 match…case 的条件判断,不需要再采用一连串的 if-else 来判断了。就跟其他语言switch…case那样。
句法格式如下表所示:
match subject: case : case : case : case _:
case _: 类似于于 C 和 Java 中的 default:,当其他 case 都无法匹配时,匹配这条,保证永远会匹配成功。示比如下表所示:
mystatus=400 print(http_error(400)) def http_error(status): match status: case 400: return “Bad request” case 404: return “Not found” case 418: return “Im a teapot” case _: return “Somethings wrong with the internet”3)循环结构
Python 中的循环语句有 while 和 for 语句。
1、while语句
Python 中 while 语句的一般形式:
while 判断条件(condition): 继续执行语句(statements)……
继续执行流程图如下表所示:
示比如下表所示:
#!/usr/bin/env python3 n = 100 sum = 0 counter = 1 while counter <= n: sum = sum + counter counter += 1 print(“1 到 %d 之和为: %d” % (n,sum))
继续执行结果如下表所示:
1 到 100 之和为: 5050
while 循环采用 else 语句
句法格式如下表所示:
while : else:
示比如下表所示:
#!/usr/bin/python3 count = 0 while count < 5: print (count, ” 小于 5″) count = count + 1 else: print (count, ” 大于或等于 5″)
继续执行以上脚本,输出结果如下表所示:
0 小于 5 1 小于 5 2 小于 5 3 小于 5 4 小于 5 5 大于或等于 52、for语句
Python for 循环能遍历任何可迭代对象,如两个列表或者两个字符串。
for循环的一般格式如下表所示:
for in : else:
流程图:
示比如下表所示:
#!/usr/bin/python3 sites = [“Baidu”, “Google”,”Runoob”,”Taobao”] for site in sites: print(site)
以上代码继续执行输出结果为:
Baidu Google Runoob Taobao
for…else 句法
在 Python 中,for…else 语句用于在循环结束后继续执行一段代码。
句法格式如下表所示:for item in iterable: # 循环主体 else: # 循环结束后继续执行的代码
示比如下表所示:
for x in range(6): print(x) else: print(“Finally finished!”)
嵌套for循环示比如下表所示(九九乘法表):
for i in range(1,10):#先遍历1~9 for j in range(1,i+1):#接着遍历1~i print(i,*,j,=,i * j,end=丨)#循环输出1~i * i的值 print(end=\n)
输出信息:
1 * 1 = 1丨 2 * 1 = 2丨2 * 2 = 4丨 3 * 1 = 3丨3 * 2 = 6丨3 * 3 = 9丨 4 * 1 = 4丨4 * 2 = 8丨4 * 3 = 12丨4 * 4 = 16丨 5 * 1 = 5丨5 * 2 = 10丨5 * 3 = 15丨5 * 4 = 20丨5 * 5 = 25丨 6 * 1 = 6丨6 * 2 = 12丨6 * 3 = 18丨6 * 4 = 24丨6 * 5 = 30丨6 * 6 = 36丨 7 * 1 = 7丨7 * 2 = 14丨7 * 3 = 21丨7 * 4 = 28丨7 * 5 = 35丨7 * 6 = 42丨7 * 7 = 49丨 8 * 1 = 8丨8 * 2 = 16丨8 * 3 = 24丨8 * 4 = 32丨8 * 5 = 40丨8 * 6 = 48丨8 * 7 = 56丨8 * 8 = 64丨 9 * 1 = 9丨9 * 2 = 18丨9 * 3 = 27丨9 * 4 = 36丨9 * 5 = 45丨9 * 6 = 54丨9 * 7 = 63丨9 * 8 = 72丨9 * 9 = 81丨
4)break 和 continue 语句1、break 语句
break 语句能跳出 for 和 while 的循环体。如果你从 for 或 while 循环中终止,任何对应的循环 else 块将不继续执行。2、continue 语句
continue 语句被用来告诉 Python 跳过当前循环,接着继续进行下一轮循环。示比如下表所示:
n = 5 while n > 0: n -= 1 if n == 2: continue print(n) print(循环结束。)
那些此基础知识十分简单,也是十分重要的,只不过网上有很多资料如是说,这里而已整理了一些常用的,由于篇幅比较长,剩余的部分放在下首诗如是说~
