第二章 国债估值水平基本原理简述
国债估值水平是下定决心国债公正产品价格[1]的操作过程。国债公正产品价格是国债的市场预期投资投资收益历经最合适的折现率折现之后的折现,其基本原理是今后投资投资收益流入折现到本周一与本周一投资投资收益流入成正比。因而,国债的估值水平数学模型能则表示为:
折现率 = 每张基准利率,国债公正产品价格 = 面额,国债在消费市场中被科学合理估值水平。
折现率 > 每张基准利率,国债公正产品价格
折现率 面额,国债在消费市场中被低估,应买进。
国债的估值水平方法
从大类上来说,能分成成本计算和总市值法两类。当中成本计算有买进成本计算和一般说来成本计算等。总市值法有按沪市估值水平和服务器端估值水平法等,当中服务器端估值水平法有交行估值水平,易方达估值水平,CFETS估值水平、灵宝所估值水平和YY估值水平。
资第二章 成本计算
2.1 买进成本计算
以国债买进产品价格加之Jaguaribe本息对国债展开估值水平:C=P+F*r
P为国债买进产品价格,F为国债面额,r为每张基准利率,F*r为应对本息。
该配套措施所制的统计数据相较单纯单纯,但未考量买进产品价格的溢价或溢价,可能会引致国债估值水平偏移其科学合理性商业价值。投资人溢价买进某只国债,依照买进成本计算估值水平可能会引致其估值水平相较较低;投资人溢价买进某只国债,依照买进成本计算估值水平会引致其估值水平偏高。比如,102元溢价买进两张面额为100元余下时限两年的国债,每张基准利率5%,国债两年之后即将到期交还100元面额和缴付5元本息共105元,这种两年的天数所赢得的真实世界投资收益如果是5元的本息乘以2元的溢价即3元,但是用买进成本计算算下来到了两年末国债值107元,多出2元的溢价没有考量,就存在偏高。
案例分析
以22中盈万家1A1为例,首次发行国债面额F为100元,每张基准利率r为2.7%,若买进产品价格为102元,则以买进成本法计算国债公正产品价格为102+100*2.7%=104.7元;若买进产品价格为98元,则以买进成本计算计算国债公正产品价格为98+100*2.7%=100.7元。
买入成本计算估值水平弊端
国债产品价格每日发生变化,未如实反映国债产品价格的真实世界情况。
净值在未即将到期前保持不变,即将到期后大幅上升,对于在不同期间持有该理财产品的投资人来说,投资收益差别巨大。
非持有即将到期的,净值会在买进时发生巨大变化。
2.2 一般说来成本计算
以国债的买进产品价格加之Jaguaribe本息和依照每张基准利率考量其买进时的溢价或溢价,在其余下时限内平均摊销,每日计提投资收益。使用一般说来成本计算展开估值水平的国债,在国债即将到期日之前,购买这只国债而赢得的每日的投资收益率是能市场预期的固定的值。
一般说来成本就是这项资产在今后持有期内能够为你带来的投资投资收益的折现。不管是溢价还是溢价,都是一样的。溢价的角度,你多付出了1块钱,也就是这1元是你今后这几年所赢得的投资投资收益依照实际基准利率折现出来的金额。溢价的角度,你少付出的1元,也是今后几年内所赢得的投资投资收益依照实际基准利率折现出来的金额。只是一个从弥补亏损的角度,一个从分摊投资收益的角度。
但是该方式也存在一定的缺陷,即无法反映消费市场波动的影响,特别是在负面事件冲击等情况下国债产品价格出现大幅下跌时,可能会使得国债估值水平存在偏高。
案例分析
以22中盈万家1A1为例,首次发行国债面额F为100元,每张基准利率r为2.7%,国债折现率一般为8%,若买进产品价格为102元,则依据一般说来成本计算,每期投资投资收益如下:
上例当中,一般说来成本就是该国债在今后持有期内所有投资投资收益的折现,不管是溢价还是溢价,基本原理是相同的。上述为溢价的角度,少付出的6.78元,也是今后几年内所赢得的投资投资收益依照实际基准利率折现出来的金额。
第三章 总市值法
3.1 沪市估值水平法
以国债上个交易日的最近成交价来确认国债的商业价值。
案例分析
以22国开15为例,查询到当前交易日成交价为99.72元,则以沪市估值水平法计算国债公正产品价格为99.72。
沪市估值水平法弊端
沪市估值水平法不完全科学合理性,需要考量国债的交易场所和流动性,对于交易所上市和托管的国债能取到沪市统计数据,但是只有流动性好的、交易频率高的国债用沪市估值水平才有参考意义,对于银行间的国债没有沪市统计数据,这种时候就需要服务器端估值水平机构来帮我们估值水平。
3.2 服务器端估值水平法
交行估值水平
交行估值是以交行投资收益率曲线等消费市场信息为基础加工生成的特定时点下的可变现参考产品价格。交行投资收益率曲线的统计数据包括了银行间国债消费市场的双边报价、银行间国债消费市场结算统计数据、柜台消费市场的双边报价、交易所国债的成交统计数据、交易所固定投资收益平台报价和成交统计数据、货币经纪公司的报价统计数据以及消费市场成员的投资收益率估值水平统计数据。这里要注意的是,需剔除异常值,比如说结合交易量情况,剔除“买断式回购”或为“做量”等原因而形成的产品价格。
交行国债估值水平已覆盖所有在岸各币种国债品种以及银行信贷资产、理财资产(包括理财直接融资辅助工具)和权益类资产品种(如优先股)。每个估值水平由一系列基本指标、产品价格指标、投资收益率指标和风险指标及流动性系数等具体统计数据构成。
使用数学模型:Hermite(赫尔米特数学模型),该数学模型的特点为光滑性、灵活性较好。具体公式如下:
《交行产品价格指标系编制方式汇编》
案例分析
以21余杭创新PPN004为例,交行估值水平为101.3220元,估价投资收益率为3.0182%。
中国国债信息网
易方达估值水平
易方达估值水平是由易方达指数有限公司根据托管在中国证券登记结算有限公司的固收类产品的产品价格信息的统计汇总统计数据、且参考了托管在交行登的一些国债成交信息后一起编制出不同品种、评级的国债投资收益率曲线,再根据投资收益率曲线和个券、行业利差、个券利差、成交产品价格等信息对国债产品价格作出估值水平。
使用数学模型:贝叶斯平滑样条数学模型(Bayesian smoothing spline model),该数学模型是在平滑样条数学模型(smoothing spline)基础上使用贝叶斯方式展开估计。
案例分析
依旧以22中盈万家1A1为例,信用评级AAA,属于个人住房抵押贷款资产支持证券,按易方达估值水平得到该国债即将到期投资收益率为3.03%。
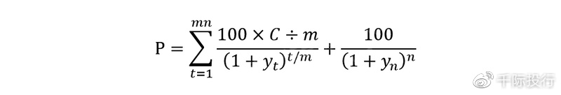
易方达指数
以该投资收益率为基准,将国债今后投资投资收益折现到本周一即可得到国债净值,具体公式如下:
当中,P为国债商业价值,C为每张基准利率,y为折现率,n为即将到期时限,m为付息频率。以第一期为例,计算所得国债净值为51.98元。
CFETS估值水平
CFETS 国债收盘估值水平基于 CFETS 国债收盘投资收益率曲线,采用投资投资收益贴现数学模型, 在起息日至即将到期日前一工作日的日期范围内提供国债估值水平。每个工作日 18:00 公 布估值水平统计数据,每日发布一次。
信息网 千际投行《中国外汇交易中心国债估值水平手册》
案例分析
依旧以22中盈万家1A1为例,CFETS估值水平净价53.6844元。
企业预警通
灵宝所估值水平
灵宝所估值水平为银行间消费市场清算股份有限公司旗下产品。灵宝所于2009年11月28日成立,是央行认定的合格中央对手方,同时是我国公司信用国债登记托管结算中心。
使用数学模型:改进型平滑样条拟合法。通过加入惩罚因子的b样条函数拟合远期基准利率曲线,通过远期投资收益率曲线赢得贴现率,并以此分别推出即期投资收益率曲线和即将到期投资收益率曲线。该数学模型得到的投资收益率曲线较为平滑,且稳定。
案例分析
以海富通灵宝所融短融国债A为例,灵宝所估值水平结果为102.88元。
资产信息网 千际投行天天基金网
YY估值水平
YY 估值水平系统实现了对消费市场发债主体全覆盖,并搭建了分行业的财务评估数学模型、两套评级数学模型(YY 等级和 YY 隐含评级)、估值水平曲线(YY 曲线)、全消费市场存量信用债的估值(YY 估值水平)以及对一级定价的预测(YY 定价)等。YY 等级的基本逻辑是将信用债分成产业和城投两类,再根据基本面打分展开分档。YY 将信用国债分成城投债与产业债,分别展开评级。
千际投行城投债评级首先要考量城投债发行主体所在区域的经济财政债务等因素,其次是考量该城投平台在当地的地位,从事业务的优先级别等个体因素,最后考量城投平台所对应的行政级别。产业国债的评级主要考量的发行主体所在的行业发展前景、自身的竞争优势、公司治理与管理情况,财务稳健程度,最终落实到对其偿债能力与偿债意愿的评估,从而确定其评级分档。根据上述逻辑,YY 分别将城投和产业的信用资质分成 10 个档位。
估值水平步骤
第一步:统计数据选择与清洗
选择信用债范围内的公募发行的中票、短融、公司债和企业债历史成交统计数据,剔除永续债、小微债和有担保国债;
第二步:主体分类及样本确定及更新
分类主要分成产业、城投和银行三类;
样本确定及更新:通过内评确定等级如3-7级,在同一等级下选取资质稳定的主体对应国债、且定期清理、维护及更新,同时保证每个评级样本数量尽量多。
第三步:编制投资收益率曲线
关键点更替:确定曲线关键点,0.1Y、0.25Y、0.5Y、1Y等作为关键点,用样本主体所有国债的一级发行每张和二级成交投资收益率来调节相应评级关键点。
评级内左右影响:同一条曲线上,对于未变动的关键点,左右有同向变动,则其变化方向及幅度相似。如0.5Y和1Y均向上,则0.75Y也应向上。
评级间相互影响:未成交关键点受相邻评级成交统计数据影响。如评级4和评级6均向上跳动5BP,则评级5也应向上跳动5BP。
曲线拟合:使用与投资收益率曲线整体形状相似的对数函数加多项式函数作为对关键点的最小二乘法曲线拟合的辅助工具来展开曲线拟合,得到每日YY投资收益率曲线。通过第三步,确定了3-7级基本的投资收益率曲线,对于个券,仍需确定其主体自身的收益率曲线。
第四步:确定每日主体隐含
如成交产品价格为6%,落在评级5和6曲线之间,可利用该位置与相邻曲线距离和差值法,得到其成交隐含为5.65。(隐含就是隐含评级的意思)。再通过上述计算出的成交隐含与前一天的主体隐含的加权,作为当天的主体隐含。
第五步:确定国债估值水平
使用当日曲线,主体的当日隐含,以及个券的行权余下时限或余下久期,对国债展开估值水平。如“主体隐含4.5、余下时限1.5Y”国债,则可确定左侧纵轴对应数值,大约为4.8%。
Cover Photo by Atsushi Tsubokura on Unsplash

















